Table of Contents
-
Epidemiology, Etiology, And Pathophysiology
-
Differential Diagnosis
-
Emergency Department Evaluation
-
History
-
Physical Examination
-
Diagnostic Studies
-
Special Circumstances
-
Sickle Cell Disease
-
Immunocompromised Children
-
Children With Leukemia
-
Children With Infectious Mononucleosis
-
Technology-Dependent Children
-
Treatment
-
Disposition
-
Discharge Instructions
-
Common Pitfalls And Medicolegal Issues
-
Summary
-
Key Points In The Management Of Children With Abdominal Pain
-
Cost-Effective Strategies In Children With Abdominal Pain
-
Risk Management
-
High-Yield Historical Questions
-
Clinical Pathway: Abdominal Pain In Previously Healthy Prepubertal Children
-
Clinical Pathway: Abdominal Pain In Previously Healthy Prepubertal Children (continued)
-
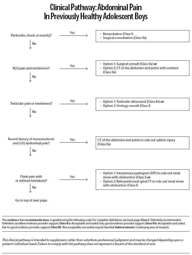
Clinical Pathway: Abdominal Pain In Previously Healthy Adolescent Boys
-
Clinical Pathway: Abdominal Pain In Previously Healthy Adolescent Boys (continued)
-
Clinical Pathway: Abdominal Pain In Previously Healthy Adolescent Girls
-
Clinical Pathway: Abdominal Pain In Previously Healthy Adolescent Girls (continued)
-
Tables
-
The Most Common Clinical Diagnoses In Chilren 2 12 Years of Age Presenting With Acute Abdominal Pain
-
Important Diagnoses Not To Be Missed
-
Features Indicative Of Appendicitis In Children
-
Common Signs And Symptoms In Children 2 Years Of Age Or Younger With Appendicitis
-
Findings On Plain Radiographs Of The Abdomen And Suggested Diagnoses
-
Treatment Approaches To Common And Serious Causes Of Abdominal Pain In Children
-
References
Epidemiology, Etiology, And Pathophysiology
Any practicing emergency physician recognizes that the incidence of pediatric abdominal pain is high. One study examined more than 1,100 consecutive children 2-12 years old who presented to an ED or walk-in clinic.
2 In this series, acute abdominal pain (fewer than 3 days' duration) accounted for about 5% of the visits. The overwhelming majority of cases (84%) were attributed to six nonsurgical etiologies. (See
Table 1.) Only 1.5% required surgery, most of which were due to appendicitis (13 of 16 laparotomies).
Another study reviewed 371 cases of children presenting to the pediatric ED with abdominal pain.3 Gastroenteritis and nonspecific abdominal pain accounted for nearly 60% of cases. Respiratory tract illnesses, including pharyngitis, asthma, otitis, and pneumonia, were diagnosed in 12% of patients. Surgical causes, including appendicitis, bowel obstruction, abdominal trauma, intussusception, strangulated hernia, cholelithiasis, and malrotation, accounted for 6.5% of cases. Appendicitis—comprising about 3% of the series—was the only surgical diagnosis to occur more than 1% of the time.
These studies indicate that abdominal pain in children is secondary to diverse etiologies, but that surgery is rarely necessary (0.05% of all visits, 1%-3% of visits for abdominal pain).
Differential Diagnosis
A comprehensive differential diagnosis of abdominal pain in children of all ages4 can be soporific even for the insomniac. In this section we discuss a short list of critical diagnoses that should be considered. A comprehensive list is so ponderous as to be practically useless for an ED evaluation.
The diagnoses of most concern are those that require operative intervention. The three most common surgical conditions are appendicitis, incarcerated inguinal hernia, and intussusception.7
When developing a differential diagnosis, consider the child's age. For example, intussusception is most commonly seen in children between 4 and 10 months of age5,6 but almost never in adolescents. (See Table 2.)
Although appendicitis occurs in nearly all age groups, the incidence peaks in older school-age children.8 The classic presentation consists of constant, vague periumbilical pain followed by vomiting, migration of the pain to the right lower quadrant, and low-grade fever.9 Table 3 presents features that Wagner suggests best identify appendicitis.
Unfortunately, young children are poor historians and localize abdominal pain poorly. This may be responsible for the fact that as many as 60%-100% of toddlers will perforate by the time they are diagnosed. 10,11 In one study of 120 children 5 years of age or younger, more than 40% of the patients had a delayed diagnosis while nonsurgical diagnoses were explored.11 Children 2 years of age or younger with appendicitis commonly have symptoms or signs, including cough, rhinitis, grunting respirations, and walking with a limp, that lead the emergency physician or pediatrician away from the correct diagnosis.12 (See Table 4.)
The most common misdiagnoses in cases of appendicitis in children include gastroenteritis (42%) and a variety of upper respiratory tract infections (18%).13 The presence of diarrhea can be particularly misleading; diarrhea occurs in up to one-third of children under the age of 3 years with appendicitis.14
The incidence of inguinal hernia is greatest during early infancy; boys are affected six times more often than girls.15 Unlike umbilical hernias, inguinal hernias generally do not resolve but instead become incarcerated or strangulated 12-20% of the time.16,17 Infants with incarcerated hernias typically have crampy abdominal pain, vomiting, and irritability. The emesis may become bilious as the obstruction persists.7 While the overlying skin is usually normal, it may become erythematous or purple as the condition progresses.8
Intussusception is another condition that typically strikes infants. Affected children are usually between the ages of 2 months and 5 years (with a peak incidence between 4 and 10 months of age).5,6 The classic triad consists of colicky intermittent abdominal pain, vomiting, and bloody stool. However, this constellation is seen in only 10%-20% of documented cases.18 Currant jelly stools occur even less frequently.19 More commonly, infants have periods of crying and drawing up their legs followed by periods of appearing playful and normal. A right upper-quadrant mass may be palpable. This is because the site of the telescoping bowel is usually at the ileocecal junction.5,6 The diagnosis of intussusception may be obscured if the patient presents with nonspecific symptoms, including lethargy, pallor, or shock.6 A subset of infants with intussusception present with suspected sepsis or central nervous system dysfunction, including generalized weakness, lethargy, and even seizures.20 The connection between intussusception and neurologic symptoms is not well-understood but is thought to be due to neurochemical mediators.20 When this is the case, coming to the correct diagnosis can be extremely difficult, particularly if bloody stool is not found on rectal exam or if a rectal exam is not performed. In one study, 75% of children with intussusception tested positive for occult blood in the stool.21
Although testicular torsion typically presents with scrotal discomfort, some children localize the pain to their abdomen.5,22 While testicular torsion can be seen at any age, there is a bimodal age distribution. A small peak occurs in the neonatal period, but cases predominate in older school-age children and young adolescents. 23-26 Many of the neonatal cases involve torsion that occurs before birth. The swollen, discolored scrotum is identified in the nursery, and the testis is not viable by that time.
Malrotation with midgut volvulus is a true surgical emergency. Although symptomatic malrotation may occur in children older than 1 year of age, the vast majority of cases occur in the neonate. In older children, the time course of the symptoms is usually measured in months.
Malrotation is characterized by intermittent vomiting and abdominal pain.27 In neonates, bilious vomiting is considered a hallmark of the condition. In one series, bilious vomiting was present in all infants with midgut volvulus.27
Unfortunately, child abuse or non-accidental trauma (NAT) is always a possible cause of abdominal pain. Clues to abuse include bruises of varying ages, ecchymoses in unusual locations, untreated burns, and fractures in varying stages of healing. Parents may give inconsistent stories for these findings. In addition to solid organ injury, NAT may involve the gut. A sharp blow to the upper abdomen can produce a duodenal hematoma. This results in obstruction and relentless vomiting, absent any external signs of trauma.
Although not typically considered a disease of childhood, ectopic pregnancy must be considered in preteen and teenage girls. Their denials of sexual contact may be unreliable, particularly when a parent is present during the history taking. A significant percentage of females who deny sexual activity may be pregnant.28 A pregnancy test should be performed on menstruating females with abdominal pain, regardless of age.
Other gynecologic conditions occur in school-age and adolescent girls. Ovarian torsion typically presents as moderately severe lower abdominal pain, localized to one side. When the right ovary is torsed, differentiating this diagnosis from appendicitis may require laparoscopy, laparotomy, or computerized tomography. 29 The rupture of a hemorrhagic cyst can present in a dramatic fashion, with hypotension, abdominal tenderness, and referred shoulder pain (from blood irritating the diaphragm). A negative pregnancy test in this case does not preclude emergent laparotomy. In addition, pelvic inflammatory disease with or without peritonitis may present in sexually active teens. It also occurs in preadolescent victims of sexual abuse.
The presentation of urinary tract infections (UTIs) often depends on the age of the child. Neonates with UTIs may be febrile and appear septic. In addition to fever, infants with UTI can have vomiting and diarrhea. 30 Also, consider UTI if a previously toilet-trained child begins wetting her pants. UTIs in preschool and school-age girls are usually associated with gastrointestinal complaints, including abdominal pain and vomiting without diarrhea. In adolescent girls, urinary tract infections mimic the adult pattern of dysuria, urinary frequency, and urinary urgency.
A simple clean-catch urinalysis is essential in toilet-trained young girls with abdominal pain. However, the finding of white cells in the urine does not clinch the diagnosis, as some cases of appendicitis also present with low-grade pyuria (and even bacteruria).31,32
Nonsurgical causes of abdominal pain range from the pathologically inert (e.g., school anxiety) to the lifethreatening. Strep pharyngitis is a common cause of abdominal pain in school-age children and is responsible for up to 16% of cases.2 Diabetic ketoacidosis causes dramatic abdominal pain and vomiting. Absent a history of diabetes, the fruity odor of ketones and a recent history of polyuria and polydipsia will suggest the diagnosis. Lobar pneumonia is another important cause of abdominal pain. While cough and fever are typically present, these may be overshadowed by the abdominal complaints. Other unusual "extra-abdominal" causes of abdominal pain include the bites of scorpions and black widow spiders, poisoning from lead or other heavy metals, porphyria, and Rocky Mountain spotted fever.33
Constipation can cause abdominal pain. While some physicians obtain an x-ray to evaluate a child for constipation, this is not supported by the literature.34,35 The presence of stool on plain radiographs does not exclude alternative diagnoses. Infants, particularly some breast-fed infants, may stool only once in several days. When parents ask to have their child evaluated for "constipation," ascertain good weight gain, a wellappearing infant, and a history of soft stools. Reassurance and follow-up with their primary doctor may be all that are required.
Gastroenteritis is one of the most common causes of abdominal pain in children. The crampy pain may result from the increased intestinal motility, or children may interpret their nausea and malaise as "abdominal pain." These children typically have both vomiting and diarrhea, often accompanied by fever. Their abdomens are typically soft and nontender and demonstrate increased bowel sounds. Vomiting and diarrhea are also commonly seen in appendicitis (see Table 4), and failure to perform an adequate initial or repeat examination risks missed pathology.10-14,36,37 Serial examinations in the ED can help distinguish gastroenteritis from other, more serious etiologies. The moderately dehydrated child with gastroenteritis will often dramatically improve after oral or intravenous hydration.
Infant colic is a controversial diagnosis.38-40 Concerned parents may present with a child who has cried for the greater part of an evening, apparently from abdominal pain. Typically, these infants are younger than 4 months of age. (A full discussion of the inconsolable infant is beyond the scope of this article; a good source is: Pawel BB, Henretig FM: Crying and colic in early infancy. In: Fleisher GR, Ludwig S, Henretig FM, eds. Textbook of Pediatric Emergency Medicine. Philadelphia: Williams & Wilkins; 2000:193-195.)
Emergency Department Evaluation
History
Because the vagaries of the history can either guide or misdirect the emergency physician, consider the most critical questions. (See the sidebar "High-Yield Historical Questions") Certain historical facts tend to corroborate a specific diagnosis. These include: intermittent pain episodes with periods of appearing normal (intussusception), bilious vomiting in a neonate (malrotation with midgut volvulus), prominent cough and fever (pneumonia), polydipsia and polyuria (diabetic ketoacidosis), sexual intercourse in a teenage girl (pelvic inflammatory disease and ectopic pregnancy), groin mass (inguinal hernia), scrotal discoloration or testicular pain (testicular torsion), and history of mononucleosis (splenic injury from minor trauma). Specifically, ask about immunocompromised states, including chronic steroid use (as seen with some asthmatics), pharmacologic immunosuppression in the transplant recipient, and sickle cell anemia. It is generally believed (and supported by case reports) that patients with immune suppression may be at higher risk for infection and demonstrate fewer peritoneal signs despite surgical disease.
Unfortunately, there are other features that are common to many clinical entities. These include vomiting, diarrhea, fussiness or irritability, vague complaints of diffuse pain, and fever. Parents are likely to mislead the emergency physician in cases of nonaccidental trauma.
Determine the chronicity of the pain. Children with recurring and persistent abdominal pain may have had multiple medical investigations in the past. In the absence of organic disease, chronic pain (especially only occurring on weekdays) may be associated with stress, school anxiety, or even parental illness or neurosis.41 Chronic Recurring Abdominal Pain is sometimes referred to by its unfair (and scatological) acronym.
Physical Examination
The physical examination of the child with abdominal pain must not be restricted to the abdomen. Early during the examination, decide whether the child appears ill or dehydrated. Are the mucous membranes moist, the eyes bright and shiny? Is the skin turgor normal? Examine the throat for exudates, as strep pharyngitis may be the culprit. Also look also for oral thrush. Thrush in the older child suggests immunosuppression, diabetes, or recent antibiotic use. Examine the child for respiratory findings such as tachypnea, grunting, rales, or egophony, as pneumonia is an important cause of pediatric abdominal pain. Rashes, too, may provide important clues to the etiology of abdominal pain. The petechial rash of Henoch- Schönlein purpura (HSP) may be seen in some children with intussusception.42 The rash of HSP is usually petechial; can be discrete or confluent; and is usually concentrated on the buttocks and lower extremities. HSP predisposes to a variety of intra-abdominal pathology, usually intussusception. Rocky Mountain spotted fever, generally characterized by a petechial rash that begins in the extremities, is frequently associated with abdominal pain.43,44
The abdominal examination in the young child requires artistry. While palpating the abdomen of a preschooler, asking "Does this hurt?" always gets an affirmative nod to every location touched. Frustrated parents frequently say, "Tell the doctor where it hurts"—to little avail. Likewise, forcing a kicking and screaming young child onto the gurney and then trying to palpate his or her abdomen is similarly fruitless.
Several approaches to the examination of the pediatric belly have been described; unfortunately, there is essentially no data available to validate them. That said, here are some of our favorite techniques.
When examining neonates and young infants, flex their knees to their abdomen, as this will soften their abdominal muscles. Allow the fearful child to remain seated in the parent's lap during abdominal palpation. Watch their facial expressions instead of asking for verbal affirmations of pain.
Another strategy is making the examination a game. A child with a tender abdomen will play until a sensitive area is examined. Tell them that you are going to feel their belly to guess what they ate; having them participate can promote a better exam. Palpating for gummy worms and toast is sure to reassure the child of your professionalism. Some physicians pretend to blow out imaginary candles on the child's abdomen.
If the abdomen is tender, assess for peritoneal signs. An alternative to rebound testing is to have the child jump up and down. Children with appendicitis typically jump only once, as the painful landing abruptly terminates the game.
A hurried physical exam without complete exposure will miss an inguinal hernia or testicular torsion. In the young child, "dropping the diaper" is an essential maneuver. Simply undressing the child may yield a prompt diagnosis. Feel for an incarcerated inguinal hernia and look for the scrotal discoloration while palpating for an abnormal testicular lie. A grossly bloody stool in the diaper of a lethargic child points to intussusception.
The value of a rectal examination in children with abdominal pain is controversial. On the one hand, localized tenderness, fecal impaction, or heme-positive stools can be important findings. On the other hand, a review of its clinical utility shows that it is rarelyhelpful.45 In one study of 1140 children 2-12 years old with acute abdominal pain, the authors noted that of eight patients with appendicitis in whom a rectal examination was performed, findings were noncontributory in six.46 Overall, they believed that the rectal examination was clinically useful in 12 of 56 patients (21%): five with constipation, three with gastroenteritis, two with appendicitis, and one patient each with abdominal adhesions and abdominal pain of uncertain etiology.
Although there is no literature directly supporting this practice, per se, we recommend a pelvic examination be performed on all sexually active teen females with abdominal pain. Prominent cervical motion tenderness or an adnexal mass may lead the emergency physician to the correct diagnosis. In the virginal preteen or teenage female with abdominal pain, the preferred approach is the bimanual rectal examination. In this exam, the examiner does not place anything in the vagina. Instead, the examiner palpates the uterus and adnexa via a finger in the rectum. In this manner large masses or prominent tenderness may be appreciated.
Risk Management
1. "The patient had diarrhea, so I just thought that it was gastroenteritis."
Using discharge diagnoses such as "gastroenteritis" when the diagnosis is unclear may mislead the family into thinking that their child's condition is completely understood and that they have been given a "final" diagnosis. Using diagnoses such as "abdominal pain and diarrhea" helps share the uncertainty of the diagnosis with the family (and their lawyer). Remember that as many as 30% of children with appendicitis have diarrhea.
2. "I didn't think that a repeat exam was warranted. He looked so good the first time."
Documented repeat exams can be valuable as the evolution in the quality and location of the pain may lead to the diagnosis. Seeing a child during a painful episode may suggest diagnoses such as intussusception that would not be considered otherwise. It is much better to note any kind of deterioration on a repeat examination in the ED (and act on it) than to have a patient deteriorate at home.
3. "There was no complaint related to the diaper area, so I didn't examine there."
Examination below the waist may reveal inguinal hernias, torsed testicles, bloody stools, or evidence of sexual assault.
4. "They seemed like such a nice family that I didn't even consider abuse."
All socioeconomic groups are represented in cases of abuse. A detailed physical examination may reveal subtle clues such as bruises of varying ages or bruises in unusual locations. Abdominal pain may be one of the more subtle ways that physical abuse may present.
5. "I just left it up to the family to take the patient to the pediatrician as needed."
Especially in uncertain cases, solid and definite follow-up arrangements should be made. Setting a definite time and place for follow-up conveys the importance of reevaluation to the parents.
6. "She said she had never had sex, so I didn't order a pregnancy test."
Sexual histories are notoriously inaccurate, particularly when parents are in the room. Ectopic pregnancy can occur in any sexually active menstruating female.
7. "He was so lethargic that I thought for sure he was septic."
Including a rectal examination and seeking a history of abdominal pain in a lethargic toddler may help in diagnosing intussusception. Remember that toddlers with intussusception may have lethargy, altered mental status, and even seizures. If not included in the differential diagnosis, this life-threatening diagnosis will be missed.
8. "The child didn't say that it hurt when she urinated, so I didn't check the urine."
Toddlers and young school-age children often present with a "GI picture" with vomiting and abdominal pain when they have a urinary tract infection. Atypical symptoms such as regression to wetting their pants may also signal urinary tract infection. Typical symptoms are not reliable until adolescence.
9. "It couldn't have been appendicitis. The white count was normal."
Patients with appendicitis may have a normal white blood cell count, may be afebrile, may have pain outside of the right lower quadrant, may have a normal appetite, or may have a urinalysis suggestive of UTI. Atypical presentations of appendicitis are common, particularly in younger children.
10. "He never said that he had had mononucleosis."
Spontaneous rupture of the spleen can be life-threatening and should be considered in teens who have had a history suggestive of mononucleosis.
Tables
References
Evidence-based medicine requires a critical appraisal of the literature based upon study methodology and number of subjects. Not all references are equally robust. The findings of a large, prospective, randomized, and blinded trial should carry more weight than a case report.
To help the reader judge the strength of each reference, pertinent information about the study, such as the type of study and the number of patients in the study, will be included in bold type following the reference, where available. In addition, the most informative references cited in the paper, as determined by the authors, will be noted by an asterisk (*) next to the number of the reference.
-
Yoshizawa J, Mizuno R, Yoshida T, et al. Spontaneous rupture of splenic hamartoma: a case report. J Pediatr Surg 1999;34(3):498-499. (Case report)
-
* Scholer SJ, Pituch K, Orr DP, et al. Clinical outcomes of children with acute abdominal pain. Pediatrics 1996;98(4):680-685. (Retrospective, cohort; 1141 patients)
-
* Reynolds SL, Jaffe DM. Children with abdominal pain: evaluation in the pediatric emergency department. Pediatr Emerg Care 1990;6:8-12. (Retrospective; 371 patients)
-
Buchert GS. Abdominal pain in children: an emergency practitioner's guide. Emerg Med Clin North Am 1989;7:497- 517. (Review)
-
Mason JD. The evaluation of acute abdominal pain in children. Emerg Med Clin North Am 1996;14(3):629-643.(Review)
-
Stevenson RJ, Ziegler MM. Abdominal pain unrelated to trauma. Pediatr Rev 1993;14(8):302-311. (Review)
-
Patel H. Abdominal pain in children. In: Feldman W, ed. Evidence-Based Pediatrics. Hamilton, Ontario, Canada: B.C. Decker, Inc.; 2000: 213-227. (Textbook chapter)
-
Irish MS, Pearl RH, Caty MG, et al. The approach to common abdominal diagnoses in infants and children. Pediatr Clin North Am 1998;45(4):729-772. (Review)
-
* Wagner JM, McKinney WP, Carpenter JL. Does this patient have appendicitis? JAMA 1996;276(19):1589-1594. (Review)
-
* Paajanen H, Somppi E. Early childhood appendicitis is still a difficult diagnosis. Acta Paediatr 1996;85:459-462. (Retrospective; 90 patients)
-
* Nance ML, Adamson WT, Hedrick HL. Appendicitis in the young child: A continuing diagnostic challenge. Pediatr Emerg Care 2000;16:160-162. (Retrospective; 120 patients)
-
* Rothrock SG, Pagane J. Acute appendicitis in children: emergency department diagnosis and management. Ann Emerg Med 2000;36:39-51. (Review)
-
* Rothrock SG, Skeach G, Rush JJ, et al. Clinical features of misdiagnosed appendicitis in children. Ann Emerg Med 1991;20:45-50. (Retrospective; 181 patients)
-
Horwitz JR, Gursoy M, Jaksic T, et al. Importance of diarrhea as a presenting symptom of appendicitis in very young children. Am J Surg 1997;173:80-82. (Retrospective; 63 patients)
-
Kapur P, Caty MG, Glick PL. Pediatric hernias and hydroceles. Pediatr Clin North Am 1998;45(4):773-789. (Review)
-
Scherer LR, Grosfeld JL. Inguinal hernia and umbilical anomalies. Pediatr Clin North Am 1993;40(6):1121-1126. (Review)
-
Rowe MI, Clatworthy HW. Incarcerated and strangulated hernias in children. Arch Surg 1970;101:136-139. (Retrospective; 2764 patients)
-
Harrington L, Connolly B, Hu X, et al. Ultrasonographic and clinical predictors of intussusception. J Pediatr 1998;132(5):836-839. (Prospective; 245 ultrasounds and air enemas and 88 clinical surveys)
-
Yamamoto LG, Morita SY, Boychuk RB, et al. Stool appearance in intussusception: Assessing the value of the term "currant jelly." Am J Emerg Med 1997;15:293-298. (Retrospective; 107 patients)
-
Conway EE Jr. Central nervous system findings and intussusception: How are they related? Pediatr Emerg Care 1993;22:15-18. (Case report)
-
Losek JD, Fiete RL. Intussusception and the diagnostic value of testing stool for occult blood. Am J Emerg Med 1991;9(1):1-3.
-
Perron CE. Pain—Scrotal. In: Fleisher GR, Ludwig S, Henretig FM, et al, eds. Textbook of Pediatric Emergency Medicine, 4th ed. Philadelphia: Williams & Wilkins; 2000:473-481. (Textbook chapter)
-
Kadish HA, Bolte RG. A retrospective review of pediatric patients with epididymitis, testicular torsion, and torsion of testicular appendages. Pediatrics 1998;102(1):73-76. (Retrospective; 90 patients, 13 with testicular torsion)
-
Davenport M. Acute problems of the scrotum. BMJ 1996;312:435-437. (Review)
-
Sidler D, Brown RA, Millar AJW, et al. A 25-year review of the acute scrotum in children. S Afr Med J 1997;87(12):1696- 1698. (Retrospective; 199 patients)
-
Lewis AG, Bukowski TP, Jarvis PD, et al. Evaluation of acute scrotum in the emergency department. J Pediatr Surg 1995;30(2):277-282. (Retrospective; 238 patients)
-
Andrassy RJ, Mahour GH. Malrotation of the midgut in infants and children. Arch Surg 1981;116:158-160. (Retrospective; 74 patients)
-
Ramoska EA, Sacchetti AD, Nepp M. Reliability of patient history in determining the possibility of pregnancy. Ann Emerg Med 1989;18(1):48-50. (Prospective; 208 patients)
-
Decadt B, Sussman L, Lewis MP, et al. Randomized clinical trial of early laparoscopy in the management of acute nonspecific abdominal pain. Br J Surg 1999;86(11):1383-1386. (Prospective, randomized; 120 total patients)
-
Elzouki AY, Mir NA, Jeswal OP. Symptomatic urinary tract infection in pediatric patients—a developmental aspect. Int J Pediatr Nephrol 1985;6(4):267-270.
-
Scott JH, Amin M, Harty JI. Abnormal urinalysis in appendicitis. J Urol 1983;129:1015. (Retrospective; 50 adults and 50 children)
-
Arnbjornsson E. Bacteriuria in appendicitis. Am J Surg 1988;155(2):356-358. (Retrospective; 194 patients)
-
Purcell TB. Nonsurgical and extraperitoneal causes of abdominal pain. Emerg Med Clin North Am 1989;7:721-774.
-
Bewley A, Clancy MJ, Hall JRW. The erroneous use by an accident and emergency department of plain abdominal radiographs in the diagnosis of constipation. Arch Emerg Med 1989:6:257-258. (Retrospective; 65 patients)
-
Campbell JPM, Gunn AA. Plain abdominal radiographs and acute abdominal pain. Br J Surg 1988;75:554-556. (Retrospective; 2286 patients)
-
Jaffe MD, Lavelle J. Appendicitis in childhood. Compr Ther 1999 Jun-Jul;25(6-7):370-375. (Review)
-
* Reynolds SL. Missed appendicitis in a pediatric emergency department. Pediatr Emerg Care 1993;9(1):1-3. (Retrospective; 87 patients)
-
Abrahamian FP, Lloyd-Still JD. Chronic constipation in childhood: a longitudinal study of 186 patients. J Pediatr Gastroenterol Nutr 1984;3(3):460-467. (Retrospective; 186 patients)
-
Beach RC. Management of childhood constipation. Lancet 1996;348:766-767. (Letter)
-
Lindberg T. Infantile colic: aetiology and prognosis. Acta Paediatr 2000;89(1):1-2. (Commentary)
-
Hotopf M, Carr S, Mayou R, et al. Why do children have chronic abdominal pain, and what happens to them when they grow up? A population based cohort study [see comments]. BMJ 1998;316(7139):1196-1200. (Populationbased cohort study)
-
Choong CK, Beasley SW. Intra-abdominal manifestations of Henoch-Schönlein purpura. J Paediatr Child Health 1998;34(5):405-409 (Review; 75 references)
-
Walker DH, Lesesne HR, Varma VA, et al. Rocky Mountain spotted fever mimicking acute cholecystitis. Arch Intern Med 1985;145(12):2194-2196.
-
Davis AE Jr, Bradford WD. Abdominal pain resembling acute appendicitis in Rocky Mountain spotted fever. JAMA 1982;247(20):2811-2812.
-
Jesudason EC, Walker J. Rectal examination in paediatric surgical practice [see comments]. Br J Surg 1999;86(3):376- 378.
-
Scholer SJ, Pituch K, Orr DP, et al. Use of the rectal examination on children with acute abdominal pain. Clin Pediatr 1998;37(5):311-316.
-
Mollitt DL, Mitchum D, Tepas JJ 3d. Pediatric appendicitis: Efficacy of laboratory and radiologic evaluation. So Med J 1988;81(12):1477-1479.
-
Fried D, Maytal J, Hanukoglu A. The differential leukocyte count in shigellosis. Infection 1982;10(1):13-14.
-
Ashkenazi S, Amir Y, Dinari G, et al. Differential leukocyte count in acute gastroenteritis. An aid to early diagnosis. Clin Pediatr 1983;22(5):356-358.
-
Peltola H, Ahlqvist J, Rapola J, et al. C-reactive protein compared with white blood cell count and erythrocyte sedimentation rate in the diagnosis of acute appendicitis in children. Acta Chirurgica Scandinavica 1986;152:55-58.
-
Dueholm S, Bagi, P, Bud M. Laboratory aid in the diagnosis of acute appendicitis. A blinded, prospective trial concerning diagnostic value of leukocyte count, neutrophil differential count and C-reactive protein. Dis Colon Rectum 1989;32(10): 855-859. (Blinded, prospective; 204 patients)
-
Snyder BK, Hayden SR. Accuracy of leukocyte count in the diagnosis of acute appendicitis [see comments]. Ann Emerg Med 1999;33(5):565-574. (Review; 11 references)
-
Scholer SJ, Pituch K, Orr DP. Test ordering on children with acute abdominal pain. Clin Pediatr (Phila) 1999;38(8):493- 497. (Retrospective, cohort; 1140 patients)
-
Hendey GW, Schwab T, Soliz T. Urine ketone dip test as a screen for ketonemia in diabetic ketoacidosis and ketosis in the emergency department. Ann Emerg Med 1997;29(6): 735-738.
-
Pershad J, Monroe K, Atchison J. Childhood hypoglycemia in an urban emergency department: epidemiology and a diagnostic approach to the problem. Pediatr Emerg Care 1998;14(4):268-271. (Retrospective; 31 patients)
-
Colucciello SA. Chest radiographs. In: Cantrill SV, Karas S, eds. Cost-Effective Diagnostic Testing in Emergency Medicine: Guidelines for Appropriate Utilization of Clinical Laboratory and Radiology Studies. Dallas: American College of Emergency Physicians; 2000:135-141.
-
Mendelson KL. Emergency abdominal ultrasound in children: current concepts. Med Health RI 1999;82(6):198- 201. (Review)
-
Hoffmann J, Rasmussen OO. Aids in the diagnosis of acute appendicitis. Br J Surg 1989;76:774-779. (Review)
-
Rao PM, Rhea JT, Rao JA, et al. Plain abdominal radiography in clinically suspected appendicitis: diagnostic yield, resource use, and comparison with CT. Am J Emerg Med 1999;17(4):325-328.
-
Smith DS, Bonandio WA, Losek JD, et al. The role of abdominal x-rays in the diagnosis and management of intussusception. Pediatr Emerg Care 1992;8(6):325-327. (Blinded, randomized; 42 cases and 42 controls)
-
* Meyer JS, Dangman BC, Buonomo C, et al. Air and liquid contrast agents in the management of intussusception: a controlled, randomized trial. Radiology 1993;188(2):507-511. (Prospective, randomized; 101 patients)
-
Palder SB, Ein SH, Stringer DA, et al. Intussusception: barium or air? J Pediatr Surg 1991;26(3):271-275. (Consecutive case series; 100 barium and then 100 air)
-
Ein SH, Palder SB, Alton DJ, et al. Intussusception: toward less surgery? J Pediatr Surg 1994;29(3):433-435. (Retrospective; 503 air enemas)
-
Heller RM, Hernanz-Schulman M. Applications of new imaging modalities to the evaluation of common pediatric conditions. J Pediatr 1999;135(5):632-639. (Review)
-
Skaane P, Schistad O, Amland PF. Routine ultrasonography in the diagnosis of acute appendicitis: A valuable tool in daily practice? Am Surg 1997;63:937-942. (Prospective; 205 patients, mostly adults)
-
* Vignault F, Filiatrault D, Brandt ML, et al. Acute appendicitis in children: evaluation with US. Radiology 1990;176(2):501-504. (Prospective; 70 patients)
-
Siegel MJ, Carel C, Surratt S. Ultrasonography of acute abdominal pain in children. JAMA 1991;266:1987-1989. (Consecutive cohort study; 178 patients)
-
Crady SK, Jones JS, Wyn T, et al. Clinicial validity of ultrasound in children with suspected appendicitis. Ann Emerg Med 1993:22:1125-1129. (Retrospective; 98 patients)
-
Carrico CW, Fenton LZ, Taylor GA, et al. Impact of sonography on the diagnosis and treatment of acute lower abdominal pain in children and young adults. AJR Am J Roentgenol 1999;172(2):513-516. (Prospective; 101 patients)
-
* Garcia Pena BM, Taylor GA, Lund DP, et al. Effect of computed tomography on patient management and costs in children with suspected appendicitis. Pediatrics 1999;104:440-446. (Retrospective; 308 patients)
-
* Garcia Pena BM, Mandl KD, Kraus SJ, et al. Ultrasonography and limited computed tomography in the diagnosis and management of appendicitis in children. JAMA 1999;282:1041-1046. (Prospective, cohort; 139 patients)
-
Lowe LH, Penney MW, Stein SM, et al. Effectiveness of noncontrast limited CT of the abdomen in the diagnosis of appendicitis in children: comparison with sonography. Presented at the Annual Meeting of the Society for Pediatric Radiology, 1999 May 14-17; Vancouver, British Columbia, Canada.
-
Stephens PL, Mazzucco JJ. Comparison of ultrasound and the Alvarado score for the diagnosis of acute appendicitis. Conn Med 1999;63(3):137-140.
-
Rao PM, Rhea JT, Novelline RA, et al. Helical CT technique for the diagnosis of appendicitis: Prospective evaluation of a focused appendix CT examination. Radiology 1997;202(1):139-144. (Prospective; 100 patients)
-
Lane MJ, Liu DM, Huynh, et al. Suspected acute appendicitis: Nonenhanced helical CT in 300 consecutive patients. Radiology 1999;213:341-346. (Prospective; 300 patients)
-
Chen MY, Zagoria RJ. Can noncontrast helical computed tomography replace intravenous urography for evaluation of patients with acute urinary tract colic? J Emerg Med 1999;17:299-303. (Retrospective; 100 patients)
-
Sourtzis S, Thibeau JE, Damry N, et al. Radiologic investigation of renal colic: unenhanced helical CT compared with excretory urography. AJR Am J Roentgenol 1999;172:1491- 1494. (Prospective; 53 patients)
-
Ferguson EE. Abdominal manifestations of sickle cell anemia. Hosp Pract 1985;20 (10A):83-89, 93-95, 98-103. (Review)
-
Al-Salem AH, Qureshi ZS, Qaisarudin S, et al. Is acute appendicitis different in patients with sickle cell disease? Pediatr Surg Int 1998;13(4):265-267. (Case report of 9 cases)
-
Antal P, Gauderer M, Koshy M, et al. Is the incidence of appendicitis reduced in patients with sickle cell disease? Pediatrics 1998;101(1):E7. (Retrospective; 11 cases in about 4000 patients with sickle cell disease)
-
Dassopoulos T, Ehrenpreis ED. Acute pancreatitis in human immunodeficiency virus-infected patients: a review. Am J Med 1999;107(1):78-84. (Review)
-
Pullyblank AM, Currie LJ, Pentlow B. Spontaneous rupture of the spleen as a result of infectious mononucleosis in two siblings. Hosp Med 1999;60(12):912-913. (Case report)
-
Asgari MM, Begos DG. Spontaneous splenic rupture in infectious mononucleosis: a review. Yale J Biol Med 1997;70:175-182. (Review)
-
Paar WD, Look MP, Robertz Vaupel GM, et al. Nonoperative management in a case of spontaneous splenic rupture in infectious mononucleosis. Z Gastroenterol 1995;33:13-14. (Case report)
-
Mortelmans L, Populaire J. Spontaneous splenic rupture in infectious mononucleosis. Acta Chir Belg 1993;93:193-195. (Case report)
-
Ali J. Spontaneous rupture of the spleen in patients with infectious mononucleosis. Can J Surg 1993;36(1):49-52. (Report of 2 cases)
-
Rogers JT. Abdominal pain. Foresight. Dallas: American College of Emergency Physicians; December 1986. (Review)
-
* Rusnak RA, Borer JM, Fastow JS. Misdiagnosis of acute appendicitis: common features discovered in cases after litigation. Am J Emerg Med 1994;12:397-402. (Retrospective; 66 cases and 66 controls)
-
Andersson RE, Hugander A, Thulin AJG. Diagnostic accuracy and perforation rate in appendicitis: association with age and symptom of the patient and with appendectomy rate. Eur J Surg 1992;158:37-41. (Retrospective; 3209 patients)
-
Meuller BA, Daling JR, Moore DE, et al. Appendectomy and the risk of tubal infertility. N Engl J Med 1986;315:1506- 1508. (Retrospective; 279 patients and 957 controls)
-
Donelly LF, Kimball TR, Barr LL. Purulent pericarditis presenting as acute abdomen in children: abdominal imaging findings. Clin Radiol 1999;54(10):691-693. (Report of 2 cases)
-
Bond GR, Tully SB, Bradley RL. Use of the MANTRELS score in childhood appendicitis: A prospective study of 187 children with abdominal pain. Ann Emerg Med 1990;19:1014-1015. (Prospective; 187 patients)